This website requires JavaScript.
Explore
Help
Sign In
hoo2
/
FuzzySystems
Watch
1
Star
0
Fork
0
You've already forked FuzzySystems
Code
Issues
Pull Requests
Actions
Packages
Projects
Releases
Wiki
Activity
FuzzySystems
/
Work 1
/
source
/
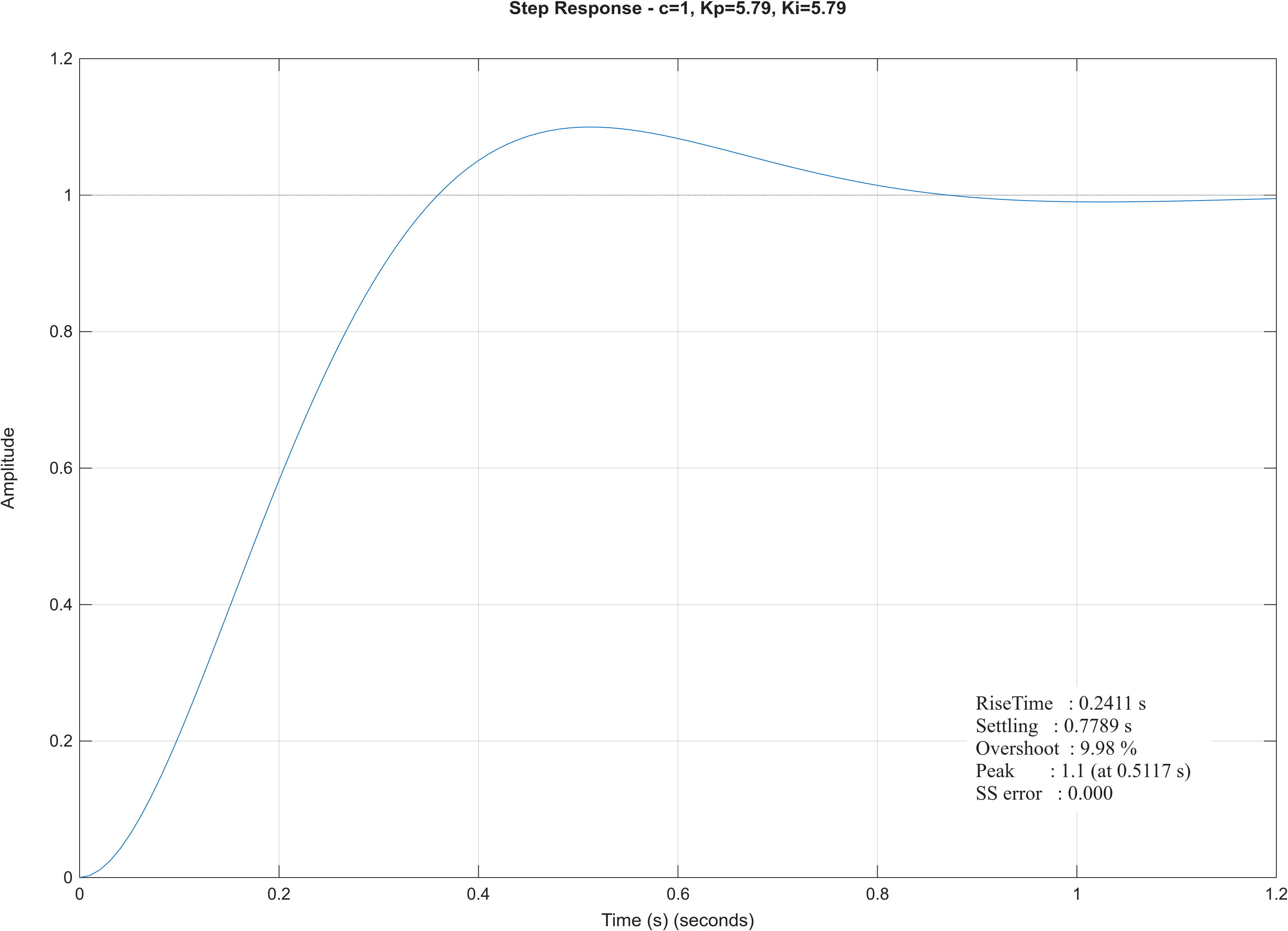
Step_Responce_c1_Kp5.79_Ki5.79.png
Christos Choutouridis
de85e9cf10
HW1: Assignment 1 report added
2025-10-23 04:10:00 +03:00
147 KiB
3204x2317px
Raw
History