OptimizationTechniques/Work 1/scripts/figures/iter_over_lambda_min_bisection.png
Christos Choutouridis d42725109a Report started
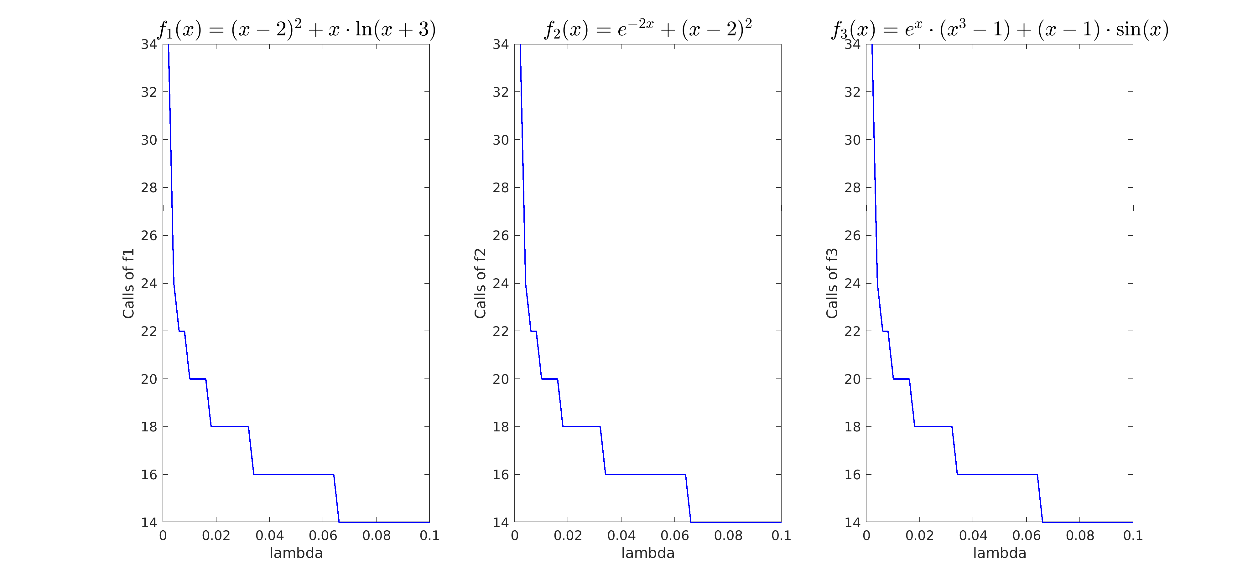
- Add output parameter to methods for objective function calls
 - Adjust the code to reduce objective function calls to some methods
2024-11-08 10:03:55 +02:00

86 KiB
4000x1875px